먼저, 자산 가치평가를 위한 기본 모형은 다음과 같다.

- V : 일정 기간의 자산 가치(Value)
- CF : 일정 기간의 현금 흐름(Cashflow)
- k : 요구수익률(=할인율)
현재 자산의 가치(V)는 미래 시점 전체 현금 흐름에 각 기간별 할인율(복리)을 적용한 값과 같다. 해당 모형을 통해 채권, 주식에 대한 가치평가를 실시할 수 있다.
1. 채권 가치평가 모형
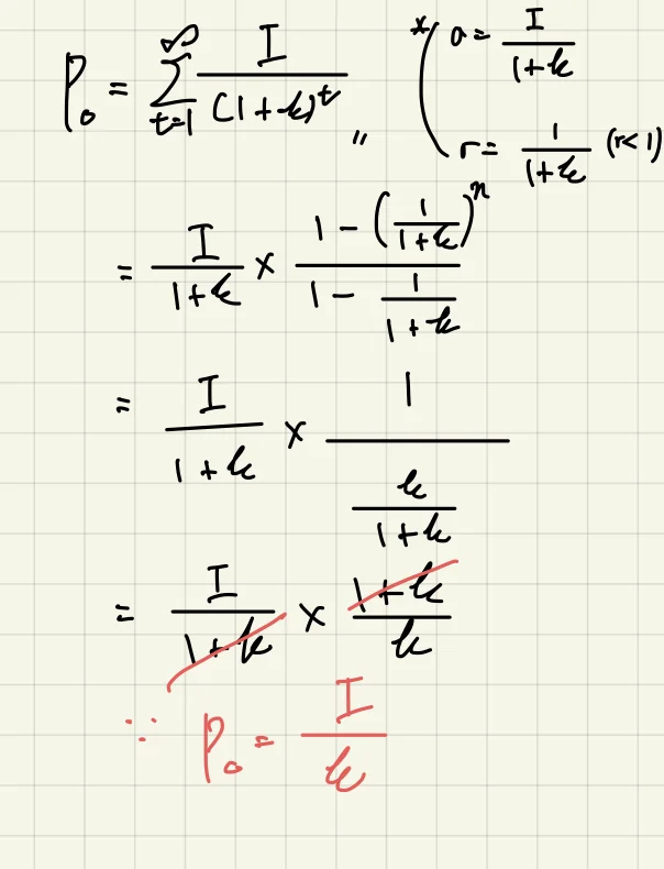
채권은 만기가 없는 채권인 영구채(Perpetual bond)와 일반 채권으로 구분하여 산식을 적용한다. 기본 채권 가치평가 모형은 다음과 같다.

영구채는 만기가 없기 때문에(연장 가능) 이자를 무한히 지급한다는 가정을 내포한다. 이에 따라 채권 산식에서 만기 원금 수령에 대한 항이 소거되고, n은 무한대로 설정한다.

그리고 무한등비급수 공식에 따라 P = I/k로 정리된다.

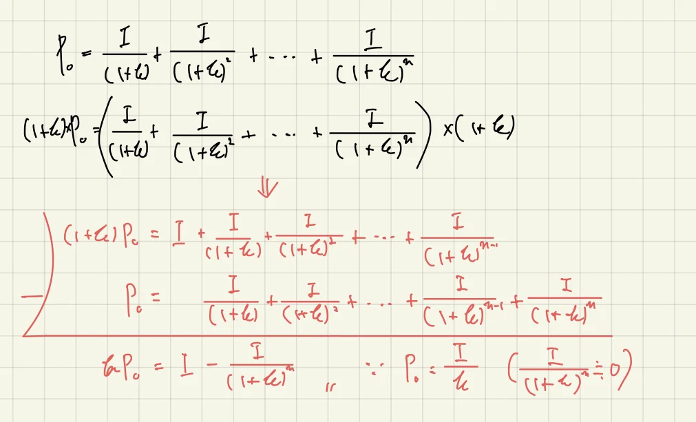
참고로, 무한등비급수 공식을 전개하면 다음과 같다. 결과는 동일하다.

2. 주식 가치평가 모형
우선주의 경우 채권 이자처럼 주가의 일정 % 비율로 배당이 고정되어 있다. 또한 그 특성상 회사 매각 시 청산 우선권이 있는 형태로, 만기가 존재하지 않는다고 가정하는 영구채와 동일한 가치평가 모형을 가진다. (P=D/k, D=배당금, k=요구수익률)
보통주는 다르다. 기업이 재투자를 목적으로 배당금 일부를 유보(유보금, 유보율)할 수 있기 때문에 배당금이 고정적이지 않으며, 우선주와 달리 매매차익실현을 목적으로 보유한다는 점에서 자본이득 및 손실(원금 손익)을 함께 고려해야 한다.
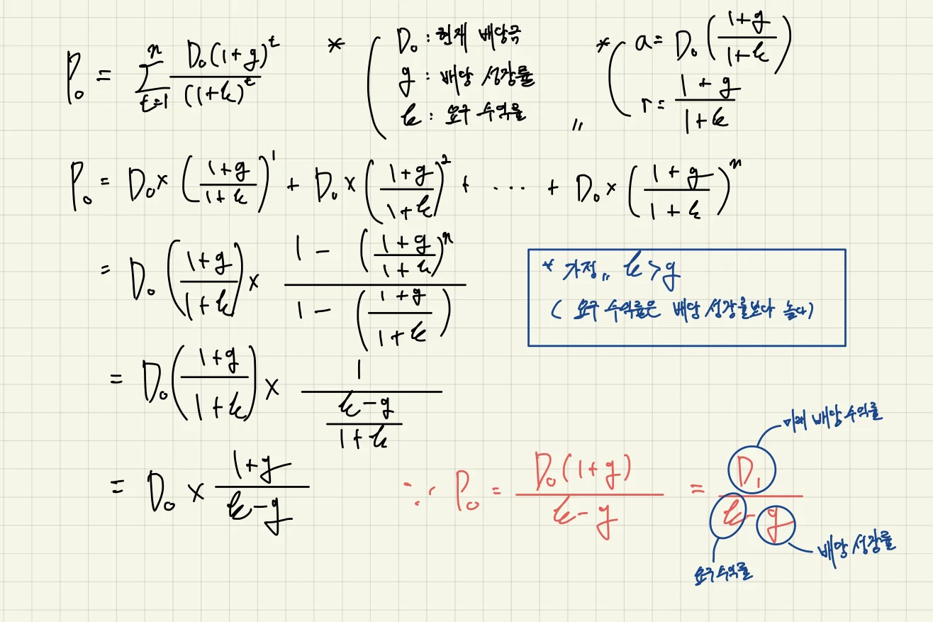
여기서 미래 자본이득 및 손실(Expected P)을 예측하는 것은 어려우므로 다음과 같이 배당 성장만을 고려해 가치평가를 수행하는 산식을 배당성장모형(=배당할인모형)이라 한다.

단, 이렇게 산식을 간단히 하였을 때 보통주는 우선주나 채권의 영구채와 동일하게 평가된다. 따라서 배당성장모형을 크게 2개 유형(무성장 모형, 항상성장모형)으로 나눠 정의한다.
여기서 무성장 모형은 우선주와 동일하다. 배당이 성장하지 않고 고정되어 있으며, 자본회수를 고려하지 않기 때문에 산식은 P=D/k가 된다 반면, 항상성장모형(Constant Growth Model)은 미래 배당금이 일정 비율(g)로 성장한다고 가정하고 산식을 다음과 같이 수정한다.

항상성장모형은 유동성이 높은 보통주의 적정주가를 추정한다는 점에서 중요한 의의를 지니며, 요구수익률(k), 배당성장률(g) 각각을 구하는 산식도 유용하게 활용된다. 특히 요구수익률(k)은 자본자산가격결정모형(CAPM), 배당성장률(g)은 자기자본이익률(ROE)에 따라 재정의될 수 있다.

관성을 이기는 데이터